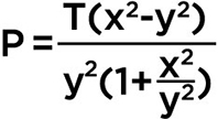
Burst Pressure
Zeus has been supplying fluoropolymer tubing to manufacturers of high pressure components since the company began. The innate strength of all fluoropolymers makes their use in these kinds of applications an ideal choice. Below you will find the formula for calculating the burst pressure, P, for your tubing products from Zeus:
Burst Pressure Calculation

Note: Burst pressure determined from the equation above is an approximation; it does not account for such things as steam pressure, altitude, resin grade, etc., and is calculated at room temperature. Burst pressure calculated from the above equation is intended as a guideline for design and therefore is not a definitive value.
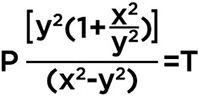
While this equation easily provides a tubing burst pressure approximation, you may also use the equation to estimate a tensile strength necessary to achieve a desired burst pressure:
From the burst pressure equation,

tensile strength can be calculated as follows:

To calculate tensile strength, T, enter the desired burst pressure, P, and use the tubing ID and OD to determine x and y and solve the equation for tensile strength.
Knowing the necessary burst pressure for your tubing application allows you to select the tubing based on the more familiar property of tensile strength rather than burst pressure. to use our burst pressure calculator click here.
For assistance with burst pressure or to simply begin a conversation about how Zeus can help with your next project, contact us or call 1-800-526-3842 today.